



除了機械力之外,補償環與非補償上的溫度的不同以及溫度梯度分布情況對密封縫隙的幾何形狀對旋轉接頭漏水原因也有影響。對于彈性變形來講,起決定性作用的主要式材料的彈性模量E和環尺寸的大小,而在熱變形時,摩擦副材料的熱力性能(例如:導熱系數λ,線膨脹系數α和散熱系數)以及旋轉接頭摩擦副密封環的結構是主要因素。密封環的結構影響溫度梯度和縫隙的形狀。不僅是軸向方向的溫度梯度影響密封縫隙的幾何形狀。就是徑向方向的溫度梯度也有作用。
1. 旋轉接頭軸向溫度梯度的影響
軸向方向的溫度梯度要引起摩擦副密封面的變形。在外徑D處溫度較低時,密封環沿著徑向方向向外擴大呈錐形,而低溫位于內徑d處時,密封環沿著徑向方向向內收縮成錐形。
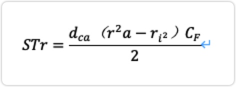
對于沿內徑或外徑彈性固定的環,紐曼(Newman)和福瑞(Forray)提出來計算由于溫度造成環端面變形的公式。假定軸向溫度梯度時線性變化的。
此公式為:

式中

CF——形狀系數
旋轉接頭摩擦副通常是在內徑d或外徑D處溫度較低。在研究由于溫度梯度造成的變形時,如果外徑d處溫度低,則認為環端面變形STr是負的,也就是密封面在內徑d處接觸;相反,如果內徑d處溫度低,也就是環的外緣區溫度較高,則密封面在外徑D處接觸,認為這時的STr是正的。
2. 旋轉接頭徑向溫度梯度的影響
通常在旋轉接頭結構中存在幾個熱源,它們強烈的影響密封環沿徑向方向溫度的分布狀態。除了摩擦副端面摩擦生熱之外,還有其他一些熱源,例如,被密封的流體介質是熱度,空心軸旋轉生熱,液體渦流運動生熱等等。
按溫度降低到方向(有時環內徑d處溫度比外徑D處低:有時相反),密封環上溫度分布情況有相當大的差異。補償環上距低溫區最遠或者最靠近熱源的部位低溫度最高,這些部位比其他部位膨脹得厲害,因為改變了密封面初始得平行縫隙形狀。令熱源和運轉條件保持不變,而且假定溫度梯度Cr沿徑向方向是線性變化時,即

由此可以得到計算環軸向變形的近似公式
STa=albc
徑向溫度梯度Cr主要決定于熱源(生熱部位),導熱系數和傳熱系數,其次還受液體的種類,粘度以及速度的影響。一定運轉條件下Cr的精確值只能通過試驗來確定。
如果低溫位于位于外徑D處,則認為軸向變形Sta是負的,這時兩個環在內孔d處接觸。而當低溫區位于內孔d處時,Sra是正的,摩擦副靠近環的外緣D處接觸。
旋轉接頭生產廠家在設計過程中,通過計算公式和試驗數據得出的數據出具旋轉接頭圖紙,有效規避旋轉接頭漏水影響因素。